Attualità Venerdì 05 Aprile 2024 ore 08:03
Polveri dal deserto, 126 sforamenti in 4 giorni

Tra Marzo e Aprile i cieli della Toscana si sono tinti di giallo per una nube naturale di polveri giunte dal Sahara. I valori nelle rilevazioni Arpat
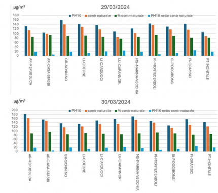
TOSCANA — E' di 126 sforamenti nei 4 giorni fra il 29 Marzo e il 1 Aprile il bilancio sull'andamento dei valori di Pm10 provocato dalla nube naturale di polveri desertiche provenienti dal Sahara che in quei giorni ha tinto di giallo i cieli della Toscana: a mettere in fila i dati ci ha pensato Arpat, l'agenzia regionale toscana di protezione ambientale.
La città più coinvolta nel fenomeno è stata Arezzo, ma i superamenti sono stati rilevati da tutte le centraline sul territorio regionale. Ad Arezzo è stato rilevato il valore più elevato il 30 Marzo: 182 microgrammi per metro cubo a cui le polveri hanno contribuito, secondo le stime, per 163 microgrammi. Si tratta del 90% del Pm10 misurato.
La nube, hanno spiegato gli esperti del consorzio Lamma che non escludono una nuova intrusione, era sospinta da venti di Scirocco ed ha investito tutta Italia, non solo la Toscana.
I rilevamenti Arpat attestano come il 29, 30 e 31 Marzo tutte le stazioni di misura del Pm10 abbiano superato il valore limite della media giornaliera, mentre il 1 Aprile la percentuale di stazioni che hanno superato il limite è scesa al 35%.
Se vuoi leggere le notizie principali della Toscana iscriviti alla Newsletter QUInews - ToscanaMedia. Arriva gratis tutti i giorni alle 20:00 direttamente nella tua casella di posta.
Basta cliccare QUI
|
|














